Elektrotechnik: Induktivität

Praktische Veranstaltungskunde: „Weil Induktivitäten sich verspäten“

Was sich hinter dieser Merkhilfe verbirgt sowie die grundlegende Bedeutung von Spulen und Drosseln in der Veranstaltungstechnik, wollen wir in diesem Artikel näher beleuchten.

DCF 1.0
(Bild: Herbert Bernstädt)

Inhalt

Anzeige

Magnetfeld
Mythbuster
Spulen
Spulenqualitäten
LED-Streifen mit Spule
Transformator
Blindwiderstand
Steuerblindleistung
W-VA-var


Bisher haben wir in unserer Reihe der „Praktischen Veranstaltungskunde“ die Leistung ohne weitere Energiespeicher im Stromkreis betrachtet. Als Energiespeicher versteht man Kondensatoren und Induktivitäten. Sind diese mit im Stromkreis, dann erfolgt im wahrsten Sinne des Wortes eine Verschiebung der Verhältnisse.

Mit der Einführung der Induktivität ist es vorbei mit der Einfachheit – dabei ist Induktivität eigentlich immer vertreten, genau wie auch immer eine Kapazität vorhanden ist. Wir haben dies bisher einfach nur vernachlässigt, da ihre Größen bei den bisher genannten Beispielen sehr klein und für das allgemeine Verständnis unbedeutend sind. Aber je mehr wir uns mit der elektrischen Energie beschäftigen, umso stärker werden auf einmal die Einflüsse dieser Energiespeicher. Aus diesem Grund werden wir uns im Folgenden auch detaillierter mit diesem Aspekt befassen.

Magnetfeld

In der PRODUCTION PARTNER Ausgabe 9|2016 haben wir bereits erfahren, wie ein Leiter durch die Bewegung in einem Magnetfeld eine Spannung induziert. Umgekehrt bildet jeder Leiter folglich auch ein Magnetfeld um sich herum auf, wenn Strom durch ihn hindurchfließt. Wenn wir nun mehrere Leiter nebeneinander legen, addiert sich das Magnetfeld. Je mehr Leiter nebeneinander zu einem Magnetfeld beisteuern, umso größer wird das Feld. Aus der zu vernachlässigenden Größe „Magnetfeld“ wird nun eine dominante Größe. Der ohmsche Widerstand des Leiters verliert dabei immer mehr an Bedeutung. Die nebeneinander liegenden Leitungen benötigen natürlich einen Stromfluss: Dieser ist in jedem Leiterabschnitt gleich groß, da nur ein Strom durch den ganzen Leiter fließt.

Durch das Übereinanderwickeln einer Leitung wird dabei eine Spule geschaffen, die bei einem Stromfluss ein kräftiges Magnetfeld um sich herum aufbaut.

 

Mythbuster

An dieser Stelle kann man einmal darauf hinweisen, dass eine Kabeltrommel immer nur voll belastet werden darf, wenn sie sich im abgerollten Zustand befindet. Das liegt jedoch nicht an der Spulenwirkung, wie man gemeinhin – und besonders nach aufmerksamer Lektüre dieses Artikels – vermuten könnte. Denn in der einphasigen Kabeltrommel ist das Kabel dreiadrig, wobei nur auf zwei Adern der Stromfluss erfolgt. Dabei heben sich die hin- und rückführenden Stromrichtungen und die damit verbundenen Magnetfelder gegenseitig auf. Somit erfolgt auch keine Spulenwirkung. Vielmehr ist es der ohmsche Widerstand der Leitung und die damit verbundene Verlustleistung, die die volle Belastung einer aufgerollten Kabeltrommel verbieten: Im aufgerollten Zustand kann die Verlustwärme nicht abgeführt werden, da die Kabel sich gegenseitig isolieren. Es entsteht Wärme, durch die sich der Widerstand der Leitung und die Verlustleistung erhöhen. Auf diese Weise beginnt der Teufelskreis und endet schlussendlich mit einer Überhitzung der Trommel. In der Praxis wird häufig ein Richtwert von 1.000 W Belastung angegeben, ab dem eine Trommel stets vollständig abgerollt werden sollte. Schließt man allerdings nur kleinere Geräte mit geringem Strombedarf wie beispielsweise Smartphones an die meist vorhandenen Vierfachverteiler an, so ist der Strom so klein, dass man eine Überhitzung ausschließen kann.


>> Weitere Grundlagenartikel gibt es auf unserem Production Partner WIKI<<


 

Spulen

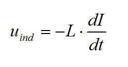
Ob Spule, Drossel, Filter, Induktivität oder wie im Englischen Choke: Nach dem Einschalten einer Spannung wird durch den beginnenden Stromfluss ein Magnetfeld in der Spule aufgebaut. Eine Magnetfeldänderung bewirkt jedoch auch die sogenannte Selbstinduktionsspannung, die der anliegenden Spannung entgegenwirkt. Je steiler die Stromänderung (di/dt) ist, umso größer sind auch das erzeugte Magnetfeld und die Gegenspannung. Dadurch werden das schnelle Ansteigen des Stroms und der Aufbau des Magnetfeldes verzögert. Die Spule sorgt dafür, dass der Strom sanfter ansteigt.

Um die physikalischen Zusammenhänge des Einschaltvorganges bei einer Induktion besser zu verstehen, folgt nun ein kleiner Exkurs: Die selbstinduzierte Spannung ist abhängig von der Größe der Induktivität sowie der Geschwindigkeit der Stromänderung. Formelmäßig wird dies wie folgt beschrieben:

Formel no 1

mit uind = induzierte Spannung (V)

L = Induktivität (H = Vs / A)

dt = infinitesimales Zeitintervall (s)

dI = Änderung der Stromstärke (A)

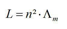
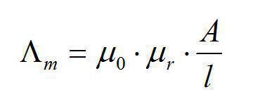
Die Induktivität wiederum ist abhängig vom Quadrat der Windungszahl und dem magnetischen Leitwert, während der magnetische Leitwert abhängig von der Permeabilität des magnetischen Kreises und deren Geometrie ist. Für Spulenkerne wird der magnetische Leitwert vom Hersteller angegeben.

Formel no 2

mit Lm= magnetischer Leitwert (H; Henry; VS/A) n = Anzahl der Windungen

Formel no 3

mit μr = relative Permeabilität A = Querschnittsfläche, die vom Magnetfeld durchsetzt wird

 

Wird in das Magnetfeld der Feldstärke H Materie eingebracht, so ändert sich die magnetische Flussdichte B aufgrund des Einflusses der Elektronen im Stoff. Dies hat den Vorteil, dass eine Spule mit einem magnetischen Kern wesentlich effektiver arbeitet. Nachteil ist jedoch, dass das Bauteil dadurch schwerer wird, was jeder, der schon einmal Dimmer-Racks ein- und ausgeladen hat, beiläufig bemerkt haben wird.

Formel no 4

mit B ” = magnetische Flussdichte (Vs/m2 ) H ” = magnetische Feldstärke (A/m)

 

Die Magnetisierung ist bei vielen Stoffen proportional zur Feldstärke H. Stoffe, bei denen dies nicht der Fall ist, sind die nichtlinearen magnetischen Werkstoffe, von denen uns die Ferromagnetika interessieren, da ihr μr deutlich größer als 1 ist.

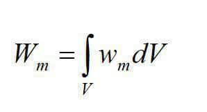
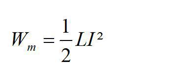
Die Fläche der Hysteresekurve ist ein Maß für die Energie, die zur Ummagnetisierung notwendig ist, während die von der Hysterese eingeschlossene Fläche ein Maß für den Energieverlust ist, der pro Zyklus in Wärme abgegeben wird. Die Feldenergie einer Spule ist proportional dem Quadrat des Spulenstroms.

Formel no 5

Formel no 6

Formel no 7

mit

Wm = magnetische Energie (J)
L = Induktivität (H) I = Spulenstrom (A)
B ” = magnetische Flussdichte (Vs/m2 )
H ” = magnetische Feldstärke (A/m)
wm = magnetische Energiedichte (J/m3)

Man unterscheidet weichmagnetische, halbharte- und hartmagnetische Werkstoffe. Für die weichmagnetischen Materialien soll die Feldenergie möglichst gering gehalten werden. Der Verlust für eingebrachte Bleche mit einer Stärke von ca. 0,4 mm und 50 Hz und einem B von 1 und 65 % NiFe liegt bei ca. 0,06 W/kg.

Grafik
Der Stromanstieg wird durch Selbstinduktion einer Spule verzögert

Dagegen zeichnen sich amorphe Weichmagnete durch besonders hohe Permeabilitätswerte μr bis zu 200.000 bei kleinen Koerzitivfeldstärken aus. Bei einem üblichen Phasenanschnittsdimmer bedeutet das, dass bei einer üblichen Induktivität einige Volt Spannungsverlust auftreten: Bei ca. 10 A Strom für den Betrieb von einer 2 kW Lampe entspricht das beispielsweise ca. 20 Watt Verlustwärme allein durch die Spule. Bei Installationen mit mehreren hundert Kreisen ist dementsprechend nicht nur der Verlust zu summieren, sondern auch an eine ausreichende Lüftung des Dimmerraumes zu denken. Die Qualität der Spule (Induktivität) ist also abhängig von dem verwendeten magnetischen Werkstoff, der Geometrie sowie möglichen Luftspalten.

Ferromagnetische Materialien sind Leiter für Magnetfelder
Ferromagnetische Materialien sind Leiter für Magnetfelder, da sie sich dort leichter bewegen als in der Luft . (Bild: Herbert Bernstaedt)

Man kann also eine Spule zum Begrenzen des Stromes einsetzen, so wie man es bei Leuchtstofflampen mit der Drossel oder bei dem HMI-Scheinwerfer mit dem Vorschaltgerät realisiert. Bei einer Entladungslampe sprechen wir dann von einem magnetischen Ballast (auch als KVG für Konventionelles Vorschaltgerät abgekürzt). Dies ist die veraltete Art, den Stromanstieg bei Entladungslampen zu begrenzen. Heute nimmt man in der Regel elektronische Vorschaltgeräte (EVG), die nicht nur wesentlich leichter sind, sondern auch stabile Arbeitspunkte und einige andere Vorteile aufweisen.

Typische Bauteile zum Bau einer Spule
Typische Bauteile zum Bau einer Spule: Blechpakete haben den Vorteil der einfachen Herstellung: Die Spule kann maschinell gewickelt und die Blechpakete eingeschoben werden. Bei einem Ring wird das Einbringen der Spule meist per Hand durchgeführt. (Bild: Herbert Bernstaedt)

Darüber hinaus treffen wir auch bei den Dimmern auf Spulen: Für jeden Steuerkreis gibt es dort mindestens eine. Denn statt den lawinenartigen Stromanstieg bei einer Entladungslampe zu begrenzen, muss beim Dimmer – insbesondere beim Phasenanschnittsdimmer – dafür gesorgt werden, dass der Strom nicht zu steil nach oben schnellt, wenn die Phase beispielsweise bei der höchsten Spannung zugeschaltet wird. Ohne Spule würde das auf diese Weise entstehende hohe di/dt und das damit verbundene starke Magnetfeld, durch die Anziehungs- und Abstoßungskraft der Magnete eine mechanische Bewegung der Wendel der Lampe hervorrufen, was im Endeffekt zu einem Lampensummen führen würde.

Alphaton-Übertrager
Gewickelte Spulen Zur Entstörung für jeden Dimmerkreis eine Spule (Bild: Herbert Bernstädt)

Aus diesem Grund summen beispielsweise auch NiedervoltLampen (NV), also die typischen Parabol-Beam-Lights, kräftig, da in ihnen hohe Ströme bei niedrigen Spannungen fließen. Man transformiert bei der NV-Lampe die Netzspannung runter, da die Wendel mit einer niedrigen Spannung kompakter gestaltet werden können und bei niedrigen Spannungen nicht so hohe Abstände zum Schutz vor Spannungsüberschlägen eingehalten werden müssen.

1 kW Last am 3 kW Dimmer Verschleifzeit, Stromperiode und Oberwellen: Aus dem zweiten Bild wird deutlich, dass auch die angeschlossene Last eine Rolle spielt. Der Unterschied der Störwirkung bei gleicher Spule mit unterschiedlicher Last zeigt, dass die Glättung nicht mehr so gut ist, wie bei Volllast. Deshalb macht es durchaus Sinn, auch kleine Dimmereinheiten für ca. 1,5 kW Maximallast bereitzuhalten, wenn eine gute Entstörung für 1,2 kW Scheinwerfer benötigt wird.

Zudem erhält man durch die kompakteren Wendel optisch bessere Eigenschaften, sprich einen sehr engen, hellen Beam. Als Nachteil dafür jedoch einen höheren Strom und somit mehr Geräusche. Im Gegensatz zu den Entladungslampen, die eine Spule zur Strombegrenzung aufweisen, haben NV-Lampen, die nur eine geringe Betriebsspannung benötigen, einen Transformator. Das hohe di/dt, mit dem daraus resultierenden starken Magnetfeld, fließt durch alle Leitungen bis hin zur Lampe und sorgt für weitere Einflüsse, wie Einstreuungen z. B. auf Tonsignale. Deshalb ist es von enormer Wichtigkeit, bei einem Dimmer einen sanften Stromanstieg zu realisieren.

Die Verschleifzeit, eine Stromperiode
Die Verschleifzeit, eine Stromperiode und die Oberwellen bei 2,5 kW Last am 3 kW Dimmer

Spulenqualitäten

Die Spulen in einem Dimmer haben eine wichtige Aufgabe zur Bewältigung von Störungen und Geräuschen bei einem Phasenanschnitts-Dimmer. Die Qualität der Spule ist folglich auch ein Qualitätsmerkmal des Dimmers. Aber wie lässt sich so eine Spulenqualität ausdrücken? Viele tendieren dazu, die Qualität der Spule anhand des Verschleifens des Stromes in Mikro – sekunden μs zu messen. Dabei wird die Zeit angegeben, die der Strom benötigt, um anzusteigen. Ausgehend vom Prinzip des Differentials, beschreibt dies die Steilheit der Kurve, die jedoch selten eine gerade Linie mit konstanter Steigung ist. Gerade zu Beginn und im Auslaufen sind die Kurven sehr unterschiedlich. Zur Betrachtung der Zeitstrecke setzt man deshalb eine typische Messdistanz ein, welche die Zeit zwischen 10 % und 90 % der Amplitude beschreibt. Die Qualität der Entstörung hängt aber nicht nur von der „Verschleifzeit“ selbst ab, sondern auch davon, wie harmonisch die Flanken bei den Übergängen ineinander verlaufen oder ob ein buckliger Übergang bleibt. So gesehen sind die Filterzeiten zwar ein Richtwert, ein Vergleich mit den Ohren kann jedoch gute Werte einfacher Spulen gegenüber schlechteren Werten bei hochwertigen Spulen schnell relativieren.

DCF 1.0
Standardspulen im typischen M-Blechpaket Für die meisten professionellen Anwendungen geeignet (Bild: Herbert Bernstädt)

Eine Stromanstiegszeit von 100 μs oder weniger ist nur für eine Anwendung für private Haushalte in Betracht zu ziehen. Bei einer Stromanstiegszeit von unter 50 μs muss sogar von einer mangelhaften Entstörung gesprochen werden, die nur aus Platz- und Gewichtsgründen in Elektroverteilungen oder Unterputzdimmern mit geringen Leistungen Anwendung findet. Bei einer Filterzeit von 120–300 μs erreicht man eine gute Filterwirkung für Diskotheken, Veranstaltungen oder Gastronomie. Oft werden Spulen mit einem Eisenkern verwendet, die im Aussehen einem Transformator ähneln.

DCF 1.0
Hochwertige Spulen in Baugruppen vormontiert für empfindliche TV Anwendungen (Bild: Herbert Bernstädt)

Eine Filterzeit von 300 μs und mehr bietet eine hervorragende Filterwirkung für TV-Studios und überall, wo empfindliche elektronische Geräte arbeiten. Hier ist die Filterqualität so hoch, dass das Vibrieren der Glühlampen-Filamente und somit das „Singen“ nachlässt. Durch Verwendung moderner Ferrit-Ringkernfilter konnte das Drossel-Gewicht verringert und die Filterleistung verbessert werden. Die Ferritfilter sind jedoch im Vergleich wesentlich teurer. Weitere Entwicklungen mit weichmagnetischem Ferritmaterial sowie deren Sinterung stellen den Effekt eines Luftspaltes dar, der über die gesamte Fläche hin verteilt ist, und erlauben ein Verändern ihrer Induktivität in Abhängigkeit der angeschlossenen Last. Während bei geringer werdender Last auch die Wirkung von Spulen nachlässt (halbe Last = halbe Entstörwirkung), bewahren diese speziellen Filter im Bereich zwischen 25–100 Prozent der Nennlast die gleich bleibende, maximale Entstörwirkung, d. h. sie ändern ihre Induktivität.

Je größer der Filter ist, desto mehr Verlustleistung und folglich Abwärme fallen an. So kann es vorkommen, dass die Kühlung der Spulen und damit die Verfügbarkeit des Bauteiles, kritisch sind. Da die Windungen sich – wie beim Lampensingen beschrieben – bewegen und damit Geräusche verursachen, werden sie oft in Harz eingegossen. Nachteil dabei ist die Wärmeisolation des Harzes, durch die die Spule ihre Abwärme nicht optimal abgeben kann. Aus diesem Grund findet man auch den Kompromiss zwischen mechanischem Halt und Temperaturabgabe in Form von halb vergossenen Spulen.

LED-Streifen mit Spule?

Auf einigen hochwertigen LED-Streifen kann man auch Spulen finden. Meist sind diese Spulen dann Bestandteil einer Schaltung, um eine höhere, aber variierende Versorgungsspannung in eine konstante kleinere Betriebsspannung zu wandeln. Eines der Probleme bei der Versorgung von LEDStreifen ist, dass von Anwendung zu Anwendung meist unterschiedlich lange Zuleitungen zum LED-Streifen notwendig sind. Auch die Anzahl der Streifen bzw. die Länge der LED-Streifen-Anordnung ändert sich von Set zu Set. Bei den relativ niedrigen Versorgungsspannungen der LED-Streifen machen sich diese Leitungslängen mit ihrem Spannungsfall erheblich bemerkbar.

Schnickschnack-Spule
Die Spule auf dem LED-Streifen Dieser Aufbau weist meist auf eine Spannungsregler-Schaltung hin (Bild: Herbert Bernstädt)

Um die Versorgungsspannung auf dem LED-Streifen jedoch konstant zu halten und die LEDs damit unabhängig vom Leitungsverlust stets in der gewünschten Helligkeit und Farbe leuchten zu lassen, ist eine ReglerSchaltung ideal. Oft verwendet man dafür einen Abwärtswandler, der auch Tiefsetzer oder Abwärtsregler bzw. im Englischen „step down converter“ genannt wird. Wie man an der Prinzip-Skizze sehen kann, wird bei voll durchgesteuertem Halbleiter einmal das Magnetfeld der Spule erzeugt, während der Kondensator ein elektrostatisches Feld aufbaut. Es wird also Energie gespeichert. Steigt die Spannung dann über einen eingestellten Wert, so sorgt eine Steuerungselektronik dafür, dass der schaltende Halbleiter wieder geöffnet wird. Nun kann die Last bei geöffnetem Stromkreis mit der Energie, die in der Spule und dem Kondensator gespeichert ist, weiterhin versorgt werden, bis die Spannung so weit absingt, dass die Steuerungselektronik den Schalter-Halbleiter wieder hinzuschaltet. Dabei kann die Schaltfrequenz einige kHz betragen. In eingeschaltetem Zustand setzt auch hier die Induktivität eine Grenze, so dass die hohe Spannung nicht bis zum Verbraucher durchdringt, während die Last mit Strom versorgt wird und die Diode in Sperrrichtung noch keine Aufgabe erfüllen muss.

Spule für die Spannungsregelung
Herausragendes Bauteil: Spule für die Spannungsregelung

Wie wir weiter unten noch lesen werden, ist das plötzliche Öffnen eines Stromkreises, in dem eine Spule eingebunden ist, ein sehr kritisches Unterfangen. Denn trotz plötzlicher Stromänderung auf den Wert Null versucht das Magnetfeld der Spule weiterhin den Stromfluss aufrecht zu erhalten. In diesem Fall wird die gesamte gespeicherte Energie aufgebracht, um eine immer größere Spannung aufzubauen – solange bis wieder ein Strom zu fließen beginnt. In der älteren Benzin-Motorentechnik nutzte man genau dieses Phä- nomen, um einen Zündfunken zu generieren. Der Batteriestrom floss in eine „Zünd“-Spule, während der Unterbrecher im Verteilerfinger den Stromkreis unterbrach. Dabei wurde die so entfesselte Spannung der Zündspule über den entsprechenden Verteilerweg zur Zündkerze am Zylinder geleitet. In unserem Fall wollen wir jedoch keinen Zündfunken generieren, sondern die Last mit einer gleichhohen Spannung versorgen. Hier kommt die Diode ins Spiel: Wenn der Halbleiter-Schalter der Regelelektronik geöffnet wird, kann der Strom weiter durch die Last fließen, da die Diode den Strom nun in Richtung Spule durchlässt. Der Strom kann also frei „weiterlaufen“, weshalb eine solche Diode in dieser Funktion manchmal auch Freilaufdiode genannt wird.

Transformator

Stellen wir zwei Spulen aneinander und sorgen dafür, dass das magnetische Feld einen Kreisfluss durch beide Spulen hindurch bilden kann, dann haben wir einen Transformator hergestellt. Wenn die eine Spule mit einem Strom versorgt wird, bildet sich ein Magnetfeld. Nun fließt aber das Magnetfeld durch die andere Spule hindurch. Wie wir es vom Generator her kennen, induziert sich dabei in der zweiten Spule eine Spannung. Man kann also mit einem Transformator Energie von A nach B übertragen. Wenn die erste Spule genauso aufgebaut ist wie die zweite Spule, sind die Verhältnisse fast gleich – wenn man von Verlusten und den Eigenschaften des Magnetfeld-Leiters einmal absieht.

Trafoprinzip: 1:1 Übertragung
Trafoprinzip: 1:1 Übertragung

Aber wofür benötigt man einen Transformator, um Energie von A nach B zu übertragen, ohne dass sich die Werte grundlegend verändern? In der Tontechnik nimmt man gerne Übertrager, die eigentlich nichts anderes sind als Transformatoren für Tonsignale, um die Signale galvanisch zu trennen bzw. zu entkoppeln. Unter galvanischer Trennung verstehen wir, dass zwischen der einen Seite – also der Primärspule – und der anderen Seite – also der Sekundärspule – keine elektrische Verbindung mehr besteht. Es können also keine Elektronen vom Stromkreis des primären Stromkreises auf den sekundä- ren Stromkreis gelangen. Allein das Magnetfeld sorgt dafür, dass sich Leistung bzw. das Signal von der primären Seite auf die sekundäre Seite übertragen. Es befindet sich jedoch kein elektrischer Leiter zwischen den Kreisen, so dass kein Elektron herüberwandern kann. Ein Übertrager ist oftmals Retter in der Not, um Brummschleifen aufzubrechen.

Dimmerspule
Hochwertiger Ton-Übertrager hier auch als Splitter ausgeführt (Bild: Herbert Bernstädt)

Ein Trenntransformator für Netzspannung wird oft eingesetzt, um eine galvanische Trennung bei der Stromversorgung von zu testenden oder zu reparierenden Geräten herzustellen. Das minimiert sehr wirkungsvoll die Gefahr eines elektrischen Schlages, doch dazu an anderer Stelle mehr. Seit dem verpflichtenden Einsatz von Fehlerstromerkennung RCD – früher Fi-Schutzschalter – genannt, hat der Einsatz von diesen Trenntrafos erheblich abgenommen. Ansonsten wurden Transformatoren sehr oft eingesetzt, um Spannungen zu transformieren: Bringt man auf der Sekundärseite doppelt so viele Windungen auf, hat das zur Folge, dass das Magnetfeld bei doppelt so vielen Leitern Spannung induziert. Somit ist die Ausgangsspannung auch doppelt so hoch. Das funktioniert umgekehrt wie auch mit jedem anderen Verhältnis. Man konnte also Wechselspannungen mit einem Transformator entsprechend dem Übersetzungsverhältnis in eine andere Spannungsgröße transformieren. Wollte man z. B. Netzspannung zu einer ungefährlicheren Kleinspannung wandeln, war der Trafo die richtige Wahl.

Trafoprinzip
Transformatorprinzip Die Primärspule bildet ein Magnetfeld, welches in der Sekundärspule wiederum zu einer Spannung generiert. Nun kann man mit unterschiedlichen Windungszahlen auch verschiedene Spannungen generieren.

Dabei konnte man oft beobachten, dass die Leitungen der Primärseite für die Netzspannung sehr dünn waren, während die der Sekundärspannung für die Kleinspannung eher dick waren. Dieses Phänomen lässt sich leicht nachvollziehen: Wenn der Trafo ca. 50 W Leistung aufnimmt, um eine Netzspannung auf 12 V-Kleinspannung zu wechseln, dann werden für die kleinere Spannung weniger Adern benötigt. Dafür muss diese Ader jedoch einen höheren Strom transportieren, denn die Leistung bleibt bis auf die Verluste die gleiche. Für den höheren Strom ist ein höherer Leiterquerschnitt angebracht. Erinnern wir uns noch einmal an den Einfluss der Zeit auf die Erzeugung eines Magnetfeldes: Je schneller die Stromänderung, desto höher fällt das Magnetfeld aus. Dies machte man sich beispielsweise in der Luftfahrt zunutze. Dort wird das Bordnetz mit 400 Hz betrieben, was ein höheres di/dt und folglich auch ein größeres Magnetfeld bedeutet. Folglich kann die Geometrie der Transformatoren kleiner gehalten werden, wodurch sich ein erhebliches Gewichts – ersparnis ergibt. Selbst wenn heute die kleinsten Steckernetzteile keine Transformatoren sind, so stimmt dies nur zum Teil. Denn alle Schaltnetzteile treiben den eben beschriebenen Effekt zur Perfektion. Bei einem Schaltnetzteil wird die Netzspannung gleich gerichtet und dann mit einer sehr hohen Frequenz „zerhackt“.

Transformator
Typischer Transformator mit Blechpaketen zur Magnetfeldführung (Bild: Herbert Bernstädt)

Mit der hohen Frequenz (im kHz- Bereich) und der zerhackten Spannung ergibt sich ebenfalls eine schnelle Stromänderung. Jetzt wird nur noch ein sehr kleiner Trafo für die Energieübertragung benötigt. Auf der Sekundärseite wird die Spannung wieder gleichgerichtet und steht für den Verbraucher als Gleichspannung zur Verfügung. Auch hier kann eine Regelung dafür sorgen, dass die Ausgangsspannung in bestimmten Bereichen immer konstant bleibt, auch wenn die Eingangsspannung schwankt. Ein konventioneller Transformator würde jede Spannungsschwankung 1:1 weiterreichen. Hier erkennen wir aber zwei Probleme, die durch diese Technik entstehen können: Einmal wird zum Puffern der Gleichspannung auf der Primärseite eine große Kapazität eingesetzt. War der konventionelle Transformator eine L-Last, zeigt sich das elektronische Schaltnetzteil als eine kapazitive C-Last. Dass nun ein großer Kondensator im Eingangskreis vorhanden ist, bedeutet auch, dass sich dieser Kondensator beim Einschalten erst mal richtig aufladen will und entsprechend viel Strom zieht. Hat man nun viele Schaltnetzteile, die zugleich eingeschaltet werden, fällt wegen des hohen Anlaufstroms meist die Sicherung aus. Abhilfe kann das zeitversetzte Einschalten mittels Unterverteilung sein. Alternativ weisen einige Geräte auch von sich aus eine Intelligenz auf, mit der sie beispielsweise das Hauptschaltnetzteil nach einem Quasizufallsprinzip zeitverzögert hinzuschalten, abhängig von der Adressierung des Scheinwerfers. Aber natürlich kosten so viel Zuverlässigkeit und Komfort auch etwas mehr. Die andere Gefahr von preiswerten Schaltnetzteilen ist die Netzrückführung und Streufeld-Aussendung, da auch hier an EMV-Untersuchungen und den folgenden Konsequenzen einfach gespart wird.

Volksnahe Erklärung für Blind- und Wirkleistung
Volksnahe Erklärung für Blind- und Wirkleistung

Trotzdem findet man heute immer weniger reine Trafos und immer mehr Schaltnetzteile, da die dafür benötigten Elektronikkomponenten heute günstiger als das Wickeln der Spulen und das Metall sind. Deshalb ersparen wir uns hier auch die bücherfüllende Berechnung von Transformatoren.

Blindwiderstand

Zurück zur Theorie: Denn mit Spulen gibt es nun eine weitere Sorte von Widerständen, mit denen der Strom seinen Weg durch die Leitung finden muss. Vernachlässigen wir einmal den ohmschen Widerstand und gehen von einer theoretischen verlustfreien Spule aus, so kann man aufgrund des bereits beschriebenen Verhaltens schließen, dass ein Strom erst fließen kann, wenn das magnetische Feld aufgebaut ist, da jede Feldänderung eine Gegeninduktion bewirkt, die gegen die anliegende Spannung agiert. Aus diesem Grund bleibt dann kaum noch Spannung übrig, die einen Stromfluss bewirken kann oder anders gesagt, entsteht der induktive Blind Widerstand durch das Phänomen der Selbstinduktion. Dabei eilt der Strom bei der idealen Spule 90° der Sinusspannung nach. Der induktive Blindwiderstand XL einer Spule ist umso größer, je größer die Induktivität L der Spule und je höher die Frequenz ist. Formal ausgedrückt ergibt sich dabei folgende Formel:

Formel no 10

mit UBL = induktive Blindspannung
I = Strom XL = induktive Blindwiderstand
ω = Kreisfrequenz
L = Induktivität

Daher auch die Eselsbrücke, dass sich die Ströme bei Induktivitäten verspäten.

Die L-Last ist ein ideales Konstrukt, denn eine Spule, die ein magnetisches Feld zu wirksamen Induktivitäten aufsummiert, besteht aus einem Leiter, der wiederum auch ohmsche Widerstandsanteile aufweist. Folglich interessieren wir uns nun mehr für das reale Bauteil, welches eine Mischung aus ohmschem Widerstand und Blindwiderstand darstellt. Man nennt ihn deshalb Blindwiderstand, da er sich in der imaginären Ebene befindet – keiner kann ihn sehen, weshalb man sagt, dass man blind ist. Wenn man aber das Messgerät herausholt und einen Betrag misst, dann misst man die geometrische Addition der Wirkung des Realen zusammen mit dem Imaginären. Deshalb nennt man das Ergebnis aus Blind und Wirkwiderstand auch Schein- Widerstand. Das Wortspiel „Wirk-, Schein- und Blind-“ wiederholt sich auf diese Weise auch für Ströme, Spannungen oder Leistungen. Aber betrachten wir nun die Reihenschaltung von R und L, also das reale Bauteil Spule.

Am realen Simulationsmodell werden zwei weitere Eigenschaften von Induktivitäten deutlich: Erstens reagieren Induktivitäten ähnlich wie Transformatoren oder Spulen empfindlich, wenn sie für Wechselstromkreise ausgelegt sind, ihr Eisen aber zusätzlich mit Gleichstrom vorzeitig in die Sättigung getrieben wird. Zweitens sollte man schaltungstechnisch Maßnahmen vornehmen, um die Energie beim Öffnen eines Stromkreises mit Induktivitäten kontrolliert abzubauen. Ansonsten kann es genauso enden wie beim Unterbrecherkontakt, den wir bereits kennengelernt haben.

R-L Cos Phi – Zusammenfassung

Eine Spule ist das Zusammenwirken von einem ohmschen Wirk-Widerstand und einem induktiven Blind-Widerstand.

Formel no 12

Formel no 13

Formel no 14

mit P = Wirkleistung in W
U = Spannung in V
I = Stom in A
S = Scheinleistung in VA
QL = Blindleistung in var (volt ampere reaktiv)

 

Die Wirkleistung bedeutet einen Energiefluss vom Erzeuger zum Verbraucher.

Die Scheinleistung beinhaltet auch die negativen Leistungsanteile, die periodisch wieder an den Erzeuger zurückgesandt werden. Die Differenz der positiven und der negativen Energie wird in der Spule in Wirkarbeit (Wärme) umgesetzt. Bei reinen Induktivitäten (oder Kapazitäten) tritt nur Blindleistung auf. Das heißt, die gesamte Energie pendelt zwischen Verbraucher und Erzeuger hin und her.

Last-LR1
a) Der Strom multipliziert mit der Spannung ergibt die Leistung. Die negative Blindleistung im Kasten B hebt sich mit der Blindleistung im Kasten A auf. Die Wirkleistung ist das Mittel der verbleibenden Scheinleistung. b) Das Zeigerdiagramm verdeutlicht, dass eine Spannung am realen Widerstand und eine Spannung am imaginären Blind – widerstand abfällt. Hier erscheint zum ersten Mal der Winkel Phi. c) Wie bereits erwähnt, ist der Widerstand größer, je schneller sich das Feld wechselt. Bei der realen Spule kommt noch der reale Widerstand hinzu, der einfach als Konstante addiert wird.

 

Der Winkel zwischen P und S ist gleich dem Phasenverschiebungswinkel Phi. Das Verhältnis von Wirkleistung zu Scheinleistung nennt man Leistungsfaktor oder Wirkfaktor. Der Leistungsfaktor ist ein Maß dafür, welcher Teil der Scheinleistung in Wirkleistung umgesetzt wird. Ist die Scheinleistung genauso groß wie die Wirkleistung, ist a) keine Blindleistung vorhanden und b) das Verhältnis beider Größen gleich 1. Somit ist der cos Phi von 1 das Optimale. Ist Blindleistung mit im Spiel während sich der cos Phi beispielsweise zu 0,5 hin verschiebt, bedeutet dies, dass das Leitungsnetz, der Umformer sowie die Generatoren bei gleicher Wirkleistung für den doppelten Strom ausgelegt sein müssen, was erhebliche Kosten verursacht. Dieser Entwcklung kann mit Kompensation entgegengewirkt werden. Der Wirkfaktor muss aufgrund der TAB (Technischen Anschlussbedingung der Energieversorger) meist zwischen cos Phi = 0,8 induktiv und cos Phi = 0,9 kapazitiv liegen. Höhere Werte sind nur mit unverhältnismäßig großem Kompensationsaufwand zu erreichen. Während der Verbraucher in manchen Ländern für Blindleistung ebenfalls zur Kasse gebeten wird, muss man sich hierzulande nur in bestimmten Grenzen bewegen und gegebenenfalls Kompensationsanlagen einsetzen.

Simulationsschaltung einer R-L Last
Simulationsschaltung einer R-L Last: Auffällig ist hier die Öffnung des Schaltkreises mittels Umschalter, dessen Schaltkontakt zur Schonung der Bauteile besser mit Knotenpunkt 4 verbunden worden wäre.

Die Scheinleistung ist demnach der größte auftretende Wert. Dementsprechend sind alle Stromverteiler und die Anschlussleistung, die benötigt wird, mit der Scheinleistung zu dimensionieren. Ein Nachmessen macht es einfach, da mit einem Voltmeter und einem Amperemeter gemessener Strom mal der Spannung automatisch die Scheinleistung in VA ergibt.

Die Skalierung der Spannung i
Die Skalierung der Spannung ist sehr grob gewählt, da sich durch das Öffnen des Stromkreises die magnetische Energie nur in Form einer Spannungsspitze im kV-Bereich entladen konnte. Zu Beginn erkennt man das Einschwingverhalten entsprechend einer E-Funktion.

Die Blindleistung ist, wie wir nun gesehen haben, für unsere Zwecke suboptimal. Deshalb ist der Energielieferant darauf bedacht, dass diese so klein wie möglich bleibt. Durch entsprechendes Regelwerk werden dem auch Grenzen gesetzt und so werden Geräte mit einer PFC (Power Factor Correction) angeboten – zu deutsch: Blindleistungs-Kompensation. Schaltnetzteile oder elektronische Vorschaltgeräte, die den Stromanstieg begrenzen sollen, werden heute meist so gebaut, dass der Kosinus von (φ) nahe der 1 ist. In der Praxis liegt er meist um einen Wert von ca. 0,98.

Doch was hat nun der Cos (φ) [für Kosinus von (φ)] damit zu tun? Wie wir vorhin die Trigometrie bemüht und nach Pythagoras a2 +b2 =c2 berechnet haben, so kann man auch das Verhältnis von Wirkleistung zu Scheinleistung in einer Winkelfunktion mathematisch bestimmen. Je weiter der Winkel aufgeht, also je höher die Blindleistung ist, umso schlechter ist es und umso kleiner wird der Zahlenwert vom Cos (φ) zum Verhältnis von Ankathete zur Hypotenuse bzw. Wirkleistung zur Scheinleistung.

Steuerblindleistung

Ein Dimmer beinhaltet zur Begrenzung eines schnellen Stromanstiegs zwar eine Spule, aber auch ohne Spule wird durch den Phasenanschnitt – also dem Einschalten des Stromflusses nachdem die Spannung schon lange den Nulldurchgang durchquert hat – die Tatsache, dass der Strom zu jeder Zeit proportional zur Spannung ist, gestört. Wird der Strom also später hinzu geschaltet, kann man umgangssprachlich sagen, dass sich der Strom wieder verspätet und erneut eine Blindleistung entsteht. In diesem Fall spricht man dann allerdings genau genommen von einer Steuerblindleistung. Dieser kurze Exkurs sollte auf eine Eigenschaft aufmerksam machen, die auch von Schaltnetzteilen verursacht werden kann: Dem Schaltvorgang zum Stromfluss zu ungünstigen Zeiten, was in einem Dreiphasennetz zu Problemen führen kann.

W – VA – var

Die Leistung auf dem Typenschild wird oft unterschiedlich angegeben: Wir wissen jetzt auch, welche Aussagen die unterschiedlichen Angaben implizieren: Die Typenschilder mit der Angabe W stehen für die Leistung – allerdings auch Angaben wie VA oder nur die Spannung und Strom separat – in diesem konkreten Fall müsste man selber noch einmal nachrechnen. Rechnet man anschlie- ßend Volt mal Ampere, erhält man VA. Viele setzen VA der Leistung W gleich, da Volt mal Ampere gleich Leistung ist. Wie wir jetzt wissen, ist das jedoch nur bei rein ohmschen Lasten richtig. Sobald Elektronik ins Spiel kommt (und dazu zählen wir auch Transformatoren und Spulen), befindet sich in dem Stromkreis ein Energiespeicher, der im Falle eines Trafos oder einer Spule die Eigenschaft hat, dass der Strom hinter der Spannung hinterherhinkt. Merkhilfe: „Bei Induktivitäten sich die Ströme verspäten“. Zu guter Letzt gibt es auch Typenschilder, die den Cos Phi angeben, was optimal wäre, um das Verhältnis Wirkleistung zu Scheinleistung beurteilen zu können.

Ersatzschaltbild von Widerstand und Induktivität
Ersatzschaltbild von Widerstand und Induktivität

>> Weitere Grundlagenartikel gibt es auf unserem Production Partner WIKI<<


 

Kommentar zu diesem Artikel

Pingbacks

  1. Grundlagen Elektrokapazität: Kondensatoren und elektrische Felder | Production Partner

Schreiben Sie einen Kommentar

Ihre E-Mail-Adresse wird nicht veröffentlicht. Erforderliche Felder sind mit * markiert.